Официальное опубликование правовых актов
ОФИЦИАЛЬНОЕ ОПУБЛИКОВАНИЕ
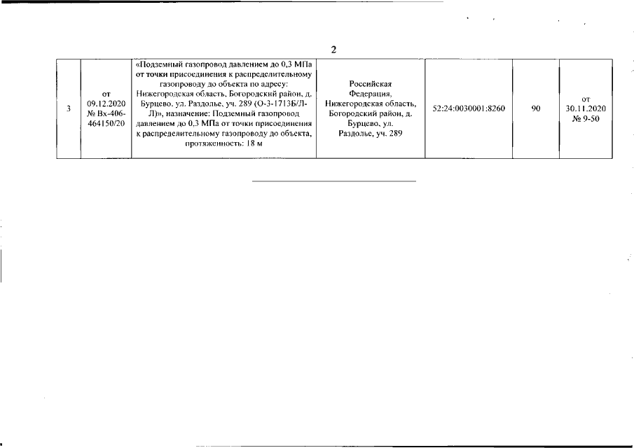
Приказ Министерства градостроительной деятельности и развития агломераций Нижегородской области от 02.03.2021 № 06-11/82 "Об утверждении границ охранных зон существующих газораспределительных сетей, расположенных в Богородском муниципальном округе Нижегородской области"
(Зарегистрирован 24.03.2021 № 16946-330-006-11/82)
Номер опубликования: 5201202103260010
Дата опубликования: 26.03.2021
Страница №5 из 10:
Увеличить