Официальное опубликование правовых актов
ОФИЦИАЛЬНОЕ ОПУБЛИКОВАНИЕ
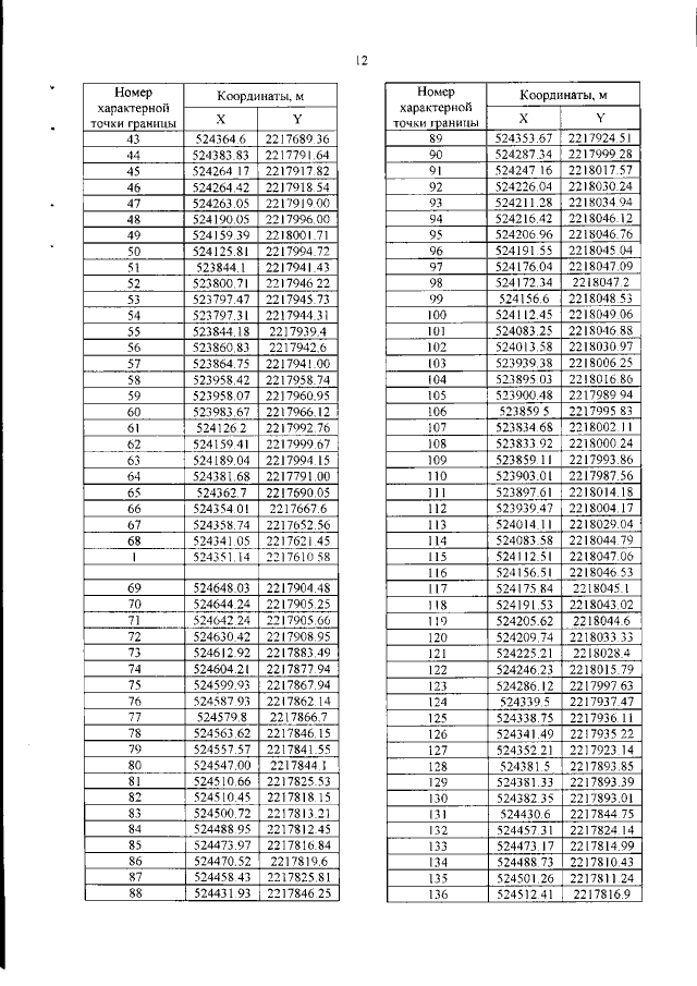
Приказ Министерства градостроительной деятельности и развития агломераций Нижегородской области от 11.02.2021 № 06-01-03/9 "Об утверждении проекта планировки и межевания территории, расположенной от ЖК "Анкудиновский парк" в Кстовском районе до ул. Академика Сахарова в г. Нижнем Новгороде Нижегородской области"
(Зарегистрирован 10.03.2021 № 16898-330-006-01-03/9)
Номер опубликования: 5201202103120009
Дата опубликования: 12.03.2021
Страница №14 из 84:
Увеличить