Официальное опубликование правовых актов
ОФИЦИАЛЬНОЕ ОПУБЛИКОВАНИЕ
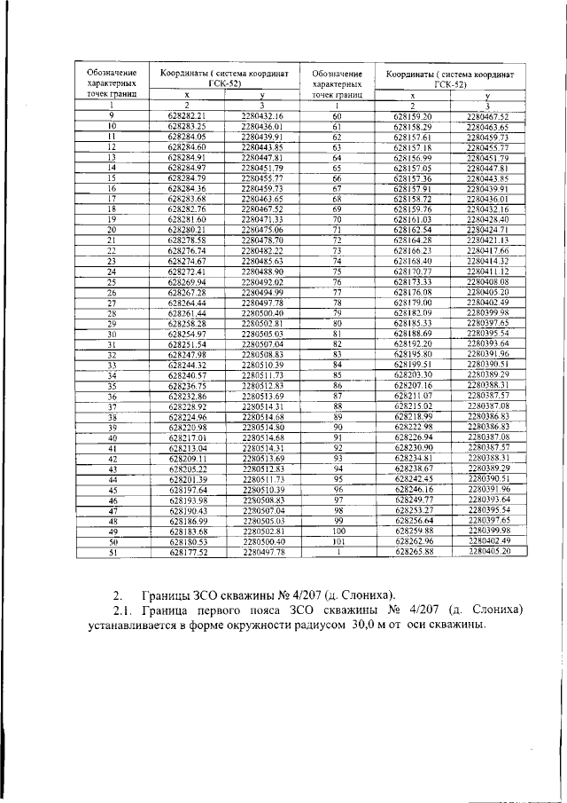
Приказ Министерства экологии и природных ресурсов Нижегородской области от 22.01.2021 № 319-25/21П/од
"Об установлении зон санитарной охраны водозабора Прудовского МУП ЖКХ Краснобаковского муниципального района Нижегородской области (н.п. Черепаниха, Слониха, Сластники, Сафоново)"
(Зарегистрирован 11.02.2021 № 16805-319-319-25/21П/од)
Номер опубликования: 5201202102150011
Дата опубликования: 15.02.2021
Страница №7 из 19:
Увеличить