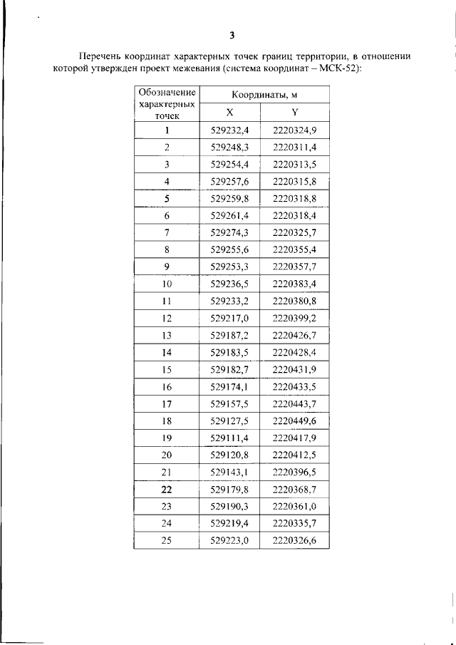
Приказ Министерства градостроительной деятельности и развития агломераций Нижегородской области от 22.01.2021 № 07-02-03/3 "Об утверждении проекта межевания территории по улице Родионова в районе дома № 163 А в Нижегородском районе города Нижнего Новгорода"
(Зарегистрирован 09.02.2021 № 16795-330-007-02-03/3)
(Зарегистрирован 09.02.2021 № 16795-330-007-02-03/3)
Номер опубликования: 5201202102150004
Дата опубликования:
15.02.2021
