Официальное опубликование правовых актов
ОФИЦИАЛЬНОЕ ОПУБЛИКОВАНИЕ
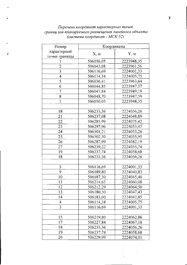
Приказ Министерства градостроительной деятельности и развития агломераций Нижегородской области от 14.01.2021 № 06-01-03/3 "Об утверждении документации по планировке территории, расположенной в микрорайоне Западный города Кстово Кстовского района Нижегородской области"
(Зарегистрирован 03.02.2021 № 16758-330-006-01-03/3)
Номер опубликования: 5201202102080013
Дата опубликования: 08.02.2021
Страница №5 из 11:
Увеличить