Официальное опубликование правовых актов
ОФИЦИАЛЬНОЕ ОПУБЛИКОВАНИЕ
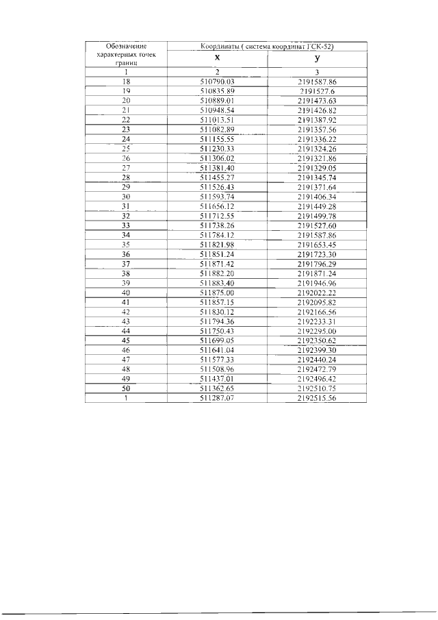
Приказ Министерства экологии и природных ресурсов Нижегородской области от 10.11.2020 № 319-428/20П/од
"Об установлении зон санитарной охраны водозаборного участка СНТ "Приозерный", расположенного восточнее д. Кожевенное Богородского муниципального района Нижегородской области"
(Зарегистрирован 12.01.2021 № 16659-319-319-428/20П/од)
Номер опубликования: 5201202101150013
Дата опубликования: 15.01.2021
Страница №14 из 14:
Увеличить