Официальное опубликование правовых актов
ОФИЦИАЛЬНОЕ ОПУБЛИКОВАНИЕ
Приказ Управления государственной охраны объектов культурного наследия Нижегородской области от 02.12.2020 № 378
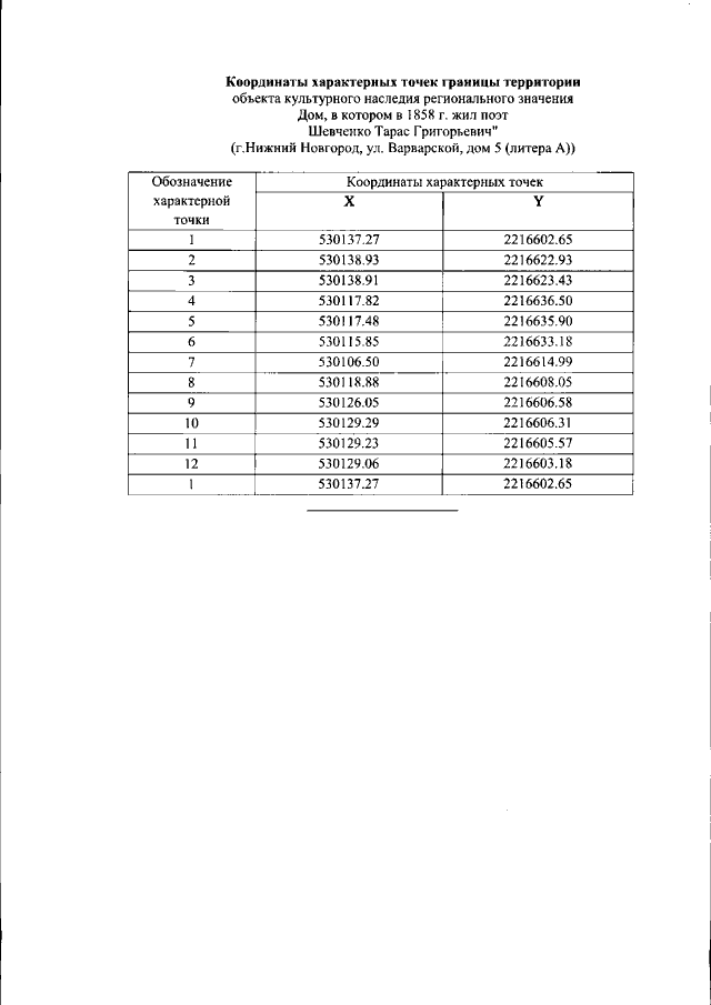
"Об утверждении границы и режима использования территории объекта культурного наследия регионального значения "Дом, в котором в 1858 г. жил поэт Шевченко Тарас Григорьевич" на ул. Варварской, дом 5 (литера А) в г. Нижнем Новгороде"
(Зарегистрирован 21.12.2020 № 16430-518-378)
Номер опубликования: 5201202012240003
Дата опубликования: 24.12.2020
Страница №4 из 6:
Увеличить