Официальное опубликование правовых актов
ОФИЦИАЛЬНОЕ ОПУБЛИКОВАНИЕ
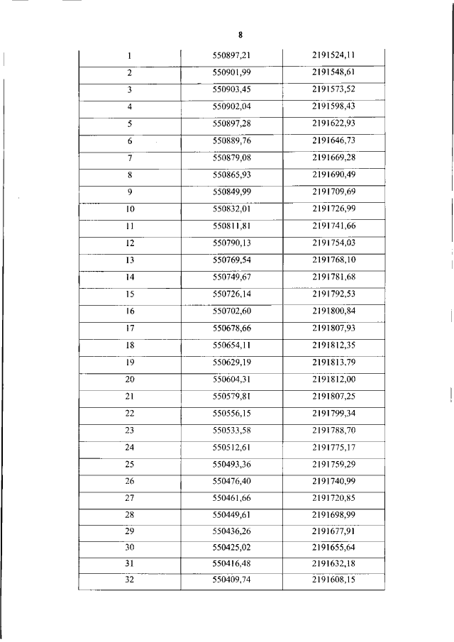
Приказ Управления государственной охраны объектов культурного наследия Нижегородской области от 13.11.2020 № 359
"Об утверждении описания местоположения границ защитных зон объектов культурного наследия, расположенных на территории г. Балахны Нижегородской области, режима использования земель в границах защитных зон объектов культурного наследия"
(Зарегистрирован 04.12.2020 № 16281-518-359)
Номер опубликования: 5201202012090012
Дата опубликования: 09.12.2020
Страница №11 из 48:
Увеличить