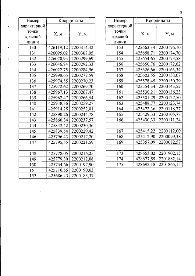
Приказ Министерства градостроительной деятельности и развития агломераций Нижегородской области от 10.11.2020 № 06-01-03/43
"Об утверждении проекта планировки территории, расположенной северо-западнее р.п. Выездное в Арзамасском районе Нижегородской области"
(Зарегистрирован 07.12.2020 № 16329-330-006-01-03/43)
"Об утверждении проекта планировки территории, расположенной северо-западнее р.п. Выездное в Арзамасском районе Нижегородской области"
(Зарегистрирован 07.12.2020 № 16329-330-006-01-03/43)
Номер опубликования: 5201202012090009
Дата опубликования:
09.12.2020
