Официальное опубликование правовых актов
ОФИЦИАЛЬНОЕ ОПУБЛИКОВАНИЕ
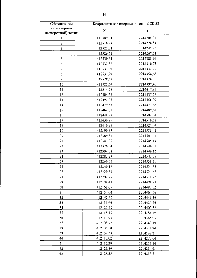
Приказ Управления государственной охраны объектов культурного наследия Нижегородской области от 09.11.2020 № 348
"Об утверждении описания местоположения границ защитных зон объектов культурного наследия, расположенных на территории Шатковского района Нижегородской области, режима использования земель в границах защитных зон объектов культурного наследия"
(Зарегистрирован 27.11.2020 № 16148-518-348)
Номер опубликования: 5201202012020006
Дата опубликования: 02.12.2020
Страница №16 из 35:
Увеличить