Официальное опубликование правовых актов
ОФИЦИАЛЬНОЕ ОПУБЛИКОВАНИЕ
Приказ Управления государственной охраны объектов культурного наследия Нижегородской области от 09.11.2020 № 349
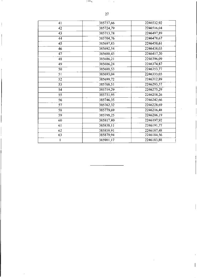
"Об утверждении описания местоположения границ защитных зон объектов культурного наследия, расположенных на территории Лукояновского района Нижегородской области, режима использования земель в границах защитных зон объектов культурного наследия"
(Зарегистрирован 27.11.2020 № 16149-518-349)
Номер опубликования: 5201202012020005
Дата опубликования: 02.12.2020
Страница №29 из 30:
Увеличить