Официальное опубликование правовых актов
ОФИЦИАЛЬНОЕ ОПУБЛИКОВАНИЕ
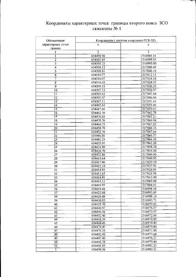
Приказ Министерства экологии и природных ресурсов Нижегородской области от 15.09.2020 № 319-365/20П/од
"Об установлении зоны санитарной охраны водоисточника АО "Линдовская птицефабрика - племенной завод" в п. Уста Уренского муниципального округа Нижегородской области"
(Зарегистрирован 27.10.2020 № 15716-319-319-365/20П/од)
Номер опубликования: 5201202010280002
Дата опубликования: 28.10.2020
Страница №5 из 11:
Увеличить