Официальное опубликование правовых актов
ОФИЦИАЛЬНОЕ ОПУБЛИКОВАНИЕ
Приказ Министерства экологии и природных ресурсов Нижегородской области от 24.09.2020 № 319-378/20П/од
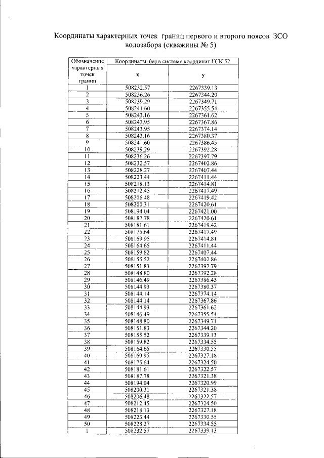
"Об установлении зоны санитарной охраны водозабора АО "Борский Водоканал" в д. Тугарино городского округа город Бор Нижегородской области"
(Зарегистрирован 16.10.2020 № 15659-319-319-378/20П/од)
Номер опубликования: 5201202010210009
Дата опубликования: 21.10.2020
Страница №4 из 6:
Увеличить