Официальное опубликование правовых актов
ОФИЦИАЛЬНОЕ ОПУБЛИКОВАНИЕ
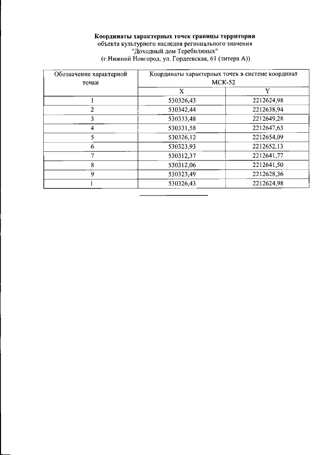
Приказ Управления государственной охраны объектов культурного наследия Нижегородской области от 05.10.2020 № 299
"Об утверждении границы и режима использования территории объекта культурного наследия регионального значения "Доходный дом Теребилиных" на ул. Гордеевской, 61 (литера А) в г. Нижнем Новгороде"
(Зарегистрирован 20.10.2020 № 15666-518-299)
Номер опубликования: 5201202010210001
Дата опубликования: 21.10.2020
Страница №4 из 6:
Увеличить