Официальное опубликование правовых актов
ОФИЦИАЛЬНОЕ ОПУБЛИКОВАНИЕ
Приказ Управления государственной охраны объектов культурного наследия Нижегородской области от 10.09.2020 № 264
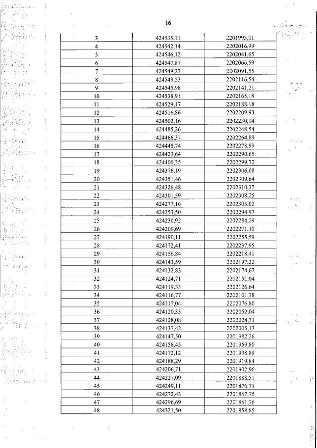
"Об утверждении описания местоположения границ защитных зон объектов культурного наследия, расположенных на территории Арзамасского района Нижегородской области, режима использования земель в границах защитных зон объектов культурного наследия"
(Зарегистрирован 30.09.2020 № 15563-518-264)
Номер опубликования: 5201202010050004
Дата опубликования: 05.10.2020
Страница №18 из 41:
Увеличить