Официальное опубликование правовых актов
ОФИЦИАЛЬНОЕ ОПУБЛИКОВАНИЕ
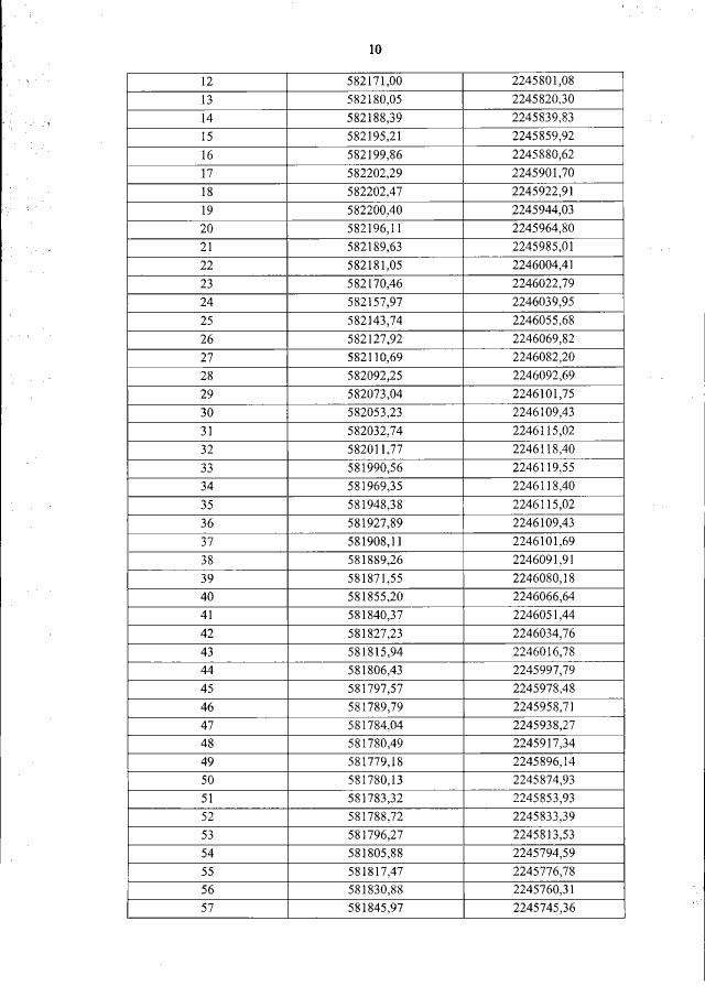
Приказ Управления государственной охраны объектов культурного наследия Нижегородской области от 27.07.2020 № 217
"Об утверждении описания местоположения границ защитных зон объектов культурного наследия, расположенных на территории Семеновского района Нижегородской области, режима использования земель в границах защитных зон объектов культурного наследия"
(Зарегистрирован 10.08.2020 № 15387-518-217)
Номер опубликования: 5201202008130011
Дата опубликования: 13.08.2020
Страница №13 из 69:
Увеличить