Официальное опубликование правовых актов
ОФИЦИАЛЬНОЕ ОПУБЛИКОВАНИЕ
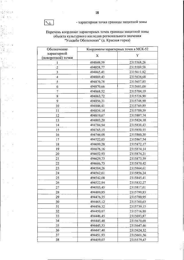
Приказ Управления государственной охраны объектов культурного наследия Нижегородской области от 20.07.2020 № 204
"Об утверждении описания местоположения границ защитных зон объектов культурного наследия, расположенных на территории Воротынского района Нижегородской области, режима использования земель в границах защитных зон объектов культурного наследия"
(Зарегистрирован 06.08.2020 № 15381-518-204)
Номер опубликования: 5201202008070001
Дата опубликования: 07.08.2020
Страница №20 из 43:
Увеличить