Официальное опубликование правовых актов
ОФИЦИАЛЬНОЕ ОПУБЛИКОВАНИЕ
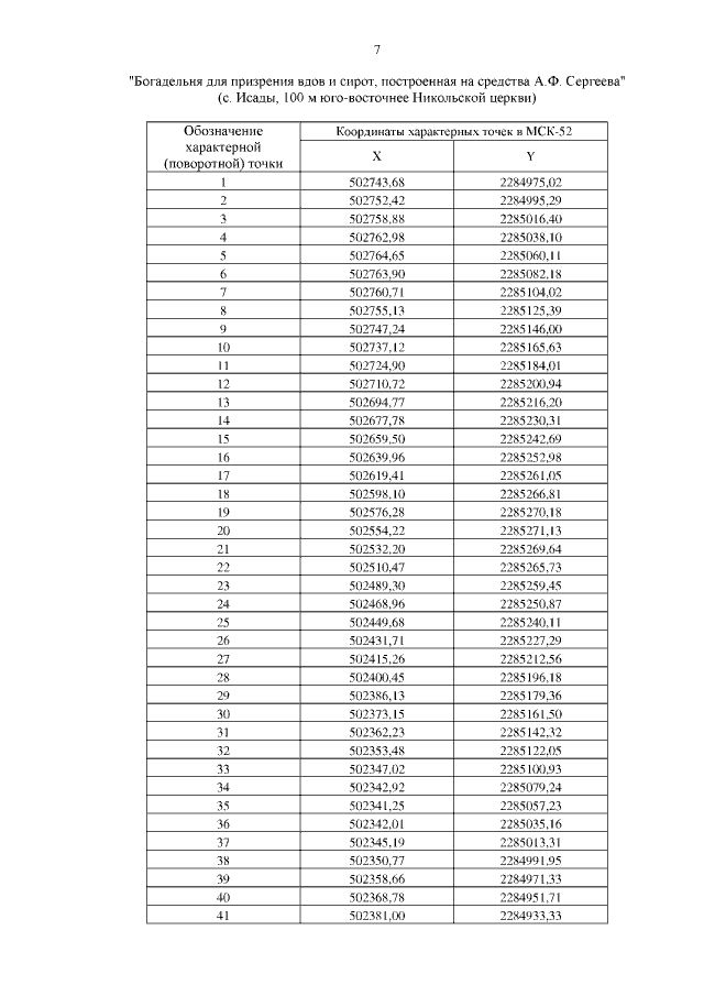
Приказ Управления государственной охраны объектов культурного наследия Нижегородской области от 16.07.2020 № 202
"Об утверждении описания местоположения границ защитных зон объектов культурного наследия, расположенных на территории Лысковского района Нижегородской области, режима использования земель в границах защитных зон объектов культурного наследия"
(Зарегистрирован 28.07.2020 № 15352-518-202)
Номер опубликования: 5201202007310001
Дата опубликования: 31.07.2020
Страница №10 из 37:
Увеличить