Официальное опубликование правовых актов
ОФИЦИАЛЬНОЕ ОПУБЛИКОВАНИЕ
Приказ Управления государственной охраны объектов культурного наследия Нижегородской области от 01.06.2020 № 175
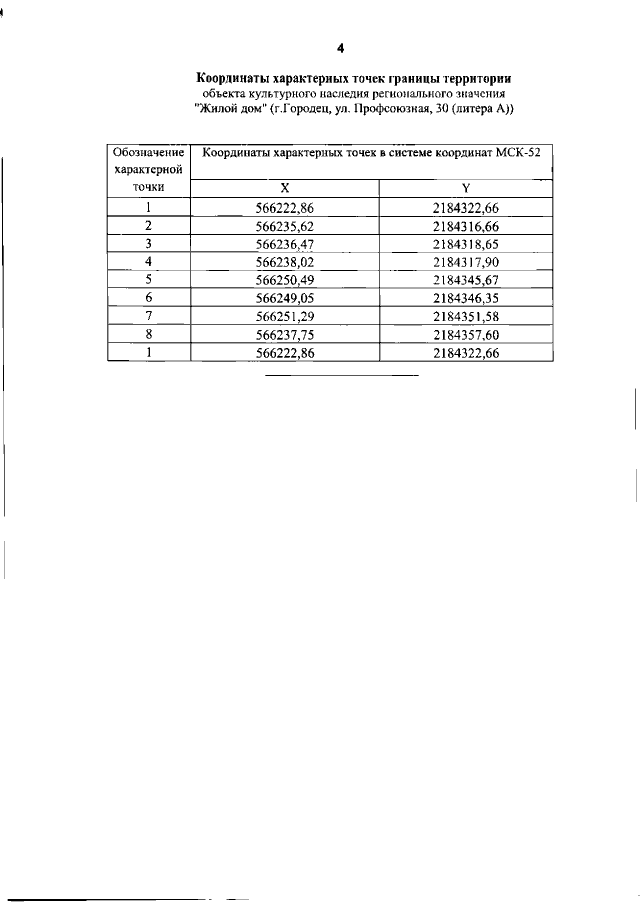
"Об утверждении границ и режима использования территорий объектов культурного наследия регионального значения "Комплекс Феодоровского монастыря" (ул. Г.Титова‚ 2 (литера А); пл. Пролетарская, 34 (литера Б))‚ "Жилой дом" (ул. Профсоюзная, 30 (литера А)) в г. Городце"
(Зарегистрирован 18.06.2020 № 15217-518-175)
Номер опубликования: 5201202006190003
Дата опубликования: 19.06.2020
Страница №6 из 8:
Увеличить