Официальное опубликование правовых актов
ОФИЦИАЛЬНОЕ ОПУБЛИКОВАНИЕ
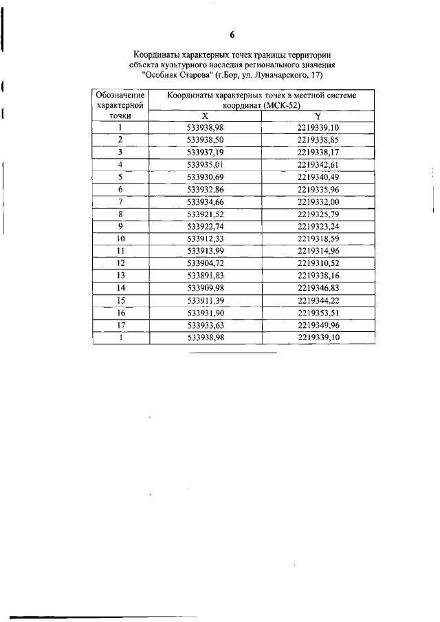
Приказ Управления государственной охраны объектов культурного наследия Нижегородской области от 22.05.2020 № 165
"Об утверждении границ и режима использования территорий объектов культурного наследия регионального значения, расположенных на улицах Ленина и Луначарского в г. Бор"
(Зарегистрирован 10.06.2020 № 15202-518-165)
Номер опубликования: 5201202006110002
Дата опубликования: 11.06.2020
Страница №8 из 10:
Увеличить