Официальное опубликование правовых актов
ОФИЦИАЛЬНОЕ ОПУБЛИКОВАНИЕ
Приказ Министерства экологии и природных ресурсов Нижегородской области от 25.03.2020 № 319-171/20П/од
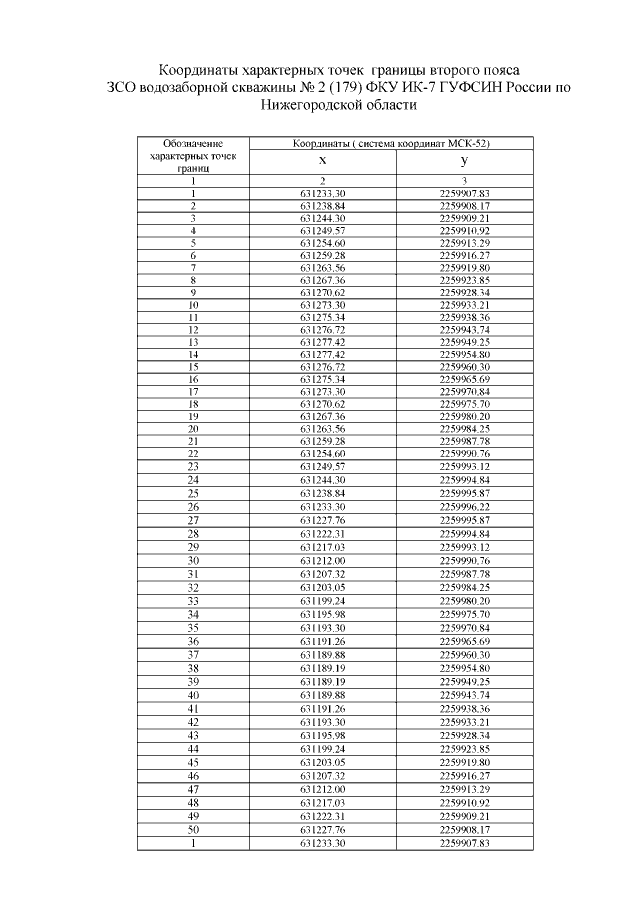
"Об установлении зон санитарной охраны водозаборной скважины № 2 (179) ФКУ ИК-7 ГУФСИН России по Нижегородской области, расположенной в п. Восход Варнавинского района Нижегородской области"
(Зарегистрирован 29.04.2020 № 15108-319-319-171/20П/од)
Номер опубликования: 5201202004300003
Дата опубликования: 30.04.2020
Страница №5 из 8:
Увеличить