Официальное опубликование правовых актов
ОФИЦИАЛЬНОЕ ОПУБЛИКОВАНИЕ
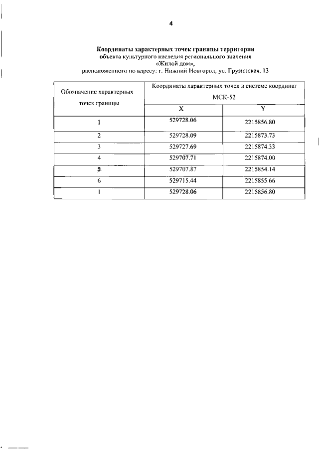
Приказ Управления государственной охраны объектов культурного наследия Нижегородской области от 08.04.2020 № 147
"О включении выявленных объектов культурного наследия, расположенных на улицах Алексеевской, Грузинской, Семашко, Черниговской, в переулках Казбекском и Плотничном в г. Нижнем Новгороде, в единый государственный реестр объектов культурного наследия (памятников истории и культуры) народов Российской Федерации в качестве объектов культурного наследия регионального значения, утверждении границ и режима использования их территорий"
(Зарегистрирован 29.04.2020 № 15107-518-147)
Номер опубликования: 5201202004300001
Дата опубликования: 30.04.2020
Страница №7 из 19:
Увеличить