Официальное опубликование правовых актов
ОФИЦИАЛЬНОЕ ОПУБЛИКОВАНИЕ
Приказ Управления государственной охраны объектов культурного наследия Нижегородской области от 30.03.2020 № 136
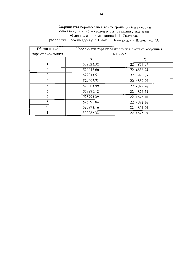
"О включении выявленных объектов культурного наследия, расположенных на улицах Малой Ямской и Шевченко в г. Нижнем Новгороде, в единый государственный реестр объектов культурного наследия (памятников истории и культуры) народов Российской Федерации в качестве объектов культурного наследия регионального значения, утверждении границ и режима использования их территорий"
(Зарегистрирован 17.04.2020 № 15083-518-136)
Номер опубликования: 5201202004220005
Дата опубликования: 22.04.2020
Страница №17 из 23:
Увеличить