Официальное опубликование правовых актов
ОФИЦИАЛЬНОЕ ОПУБЛИКОВАНИЕ
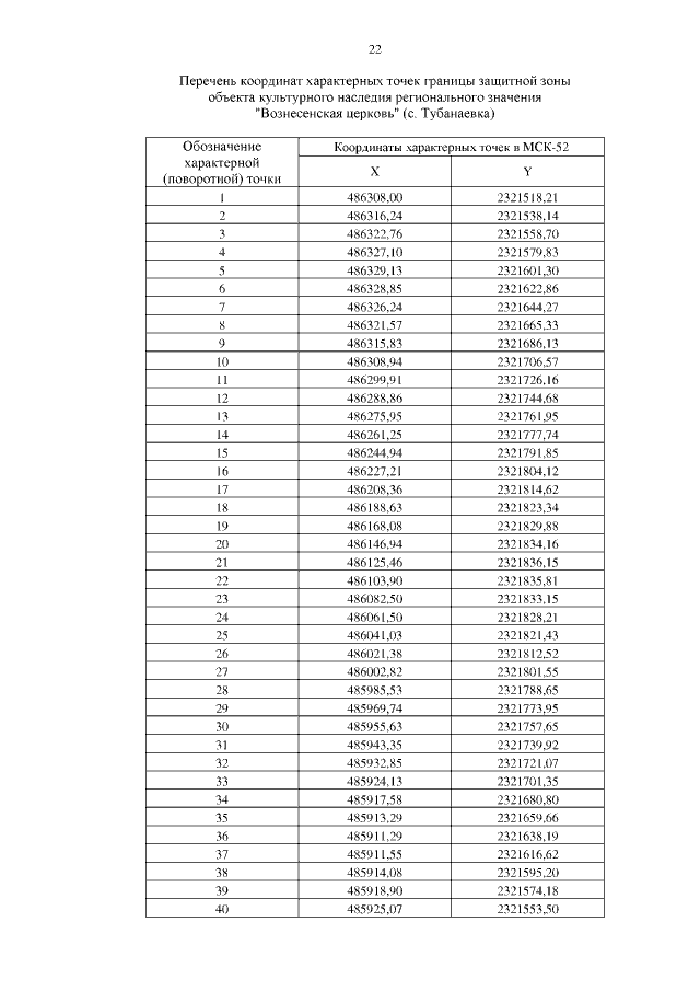
Приказ Управления государственной охраны объектов культурного наследия Нижегородской области от 24.03.2020 № 131
"Об утверждении описания местоположения границ защитных зон объектов культурного наследия, расположенных на территории Спасского района Нижегородской области, режима использования земель в границах защитных зон объектов культурного наследия"
(Зарегистрирован 13.04.2020 № 15050-518-131)
Номер опубликования: 5201202004150002
Дата опубликования: 15.04.2020
Страница №24 из 26:
Увеличить