Официальное опубликование правовых актов
ОФИЦИАЛЬНОЕ ОПУБЛИКОВАНИЕ
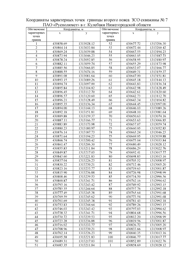
Приказ Министерства экологии и природных ресурсов Нижегородской области от 11.03.2020 № 319-146/20П/од
"Об установлении зон санитарной охраны скважин №№ 1, 4, 6, 7, 8 ПАО "Русполимет" в г. Кулебаки Нижегородской области"
(Зарегистрирован 06.04.2020 № 15027-319-319-146/20П/од)
Номер опубликования: 5201202004080001
Дата опубликования: 08.04.2020
Страница №12 из 22:
Увеличить