Официальное опубликование правовых актов
ОФИЦИАЛЬНОЕ ОПУБЛИКОВАНИЕ
Приказ Управления государственной охраны объектов культурного наследия Нижегородской области от 13.03.2020 № 110
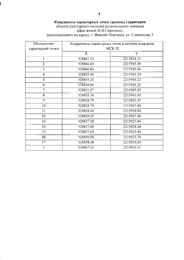
"О включении выявленных объектов культурного наследия, расположенных на улицах Славянской и Студеной в г. Нижнем Новгороде, в единый государственный реестр объектов культурного наследия (памятников истории и культуры) народов Российской Федерации в качестве объектов культурного наследия регионального значения, утверждении границ и режима использования их территорий"
(Зарегистрирован 30.03.2020 № 14989-518-110)
Номер опубликования: 5201202004030002
Дата опубликования: 03.04.2020
Страница №7 из 16:
Увеличить