Приказ Министерства экологии и природных ресурсов Нижегородской области от 21.02.2020 № 319-113/20П/од
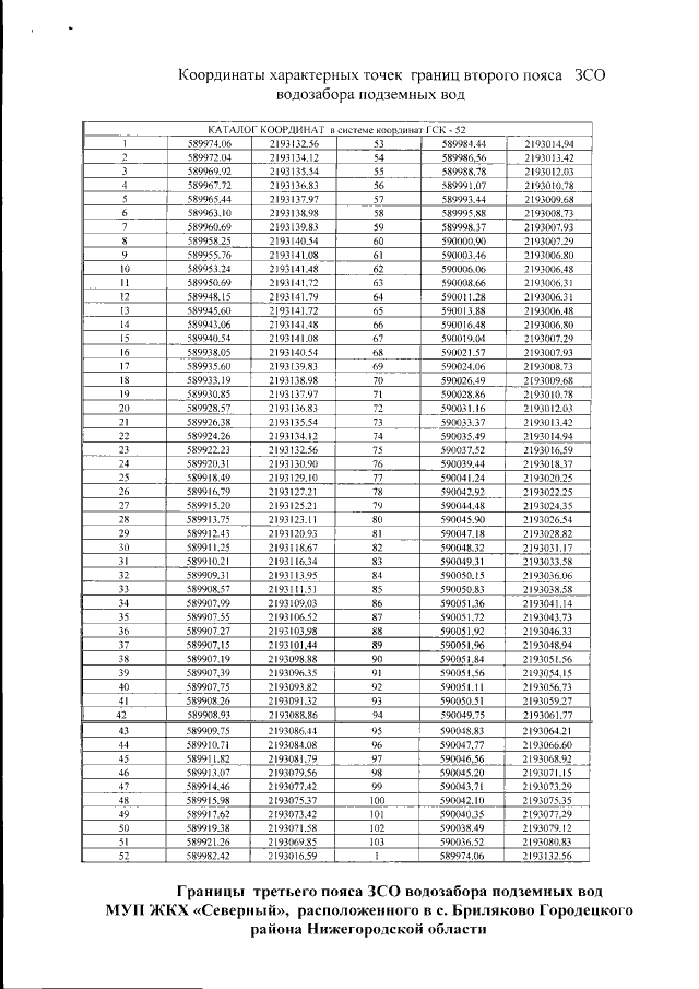
"Об установлении зон санитарной охраны водозабора подземных вод МУП ЖКХ "Северный", расположенного в с. Бриляково Городецкого района Нижегородской области"
(Зарегистрирован 18.03.2020 № 14932-319-319-113/20П/од)
"Об установлении зон санитарной охраны водозабора подземных вод МУП ЖКХ "Северный", расположенного в с. Бриляково Городецкого района Нижегородской области"
(Зарегистрирован 18.03.2020 № 14932-319-319-113/20П/од)
Номер опубликования: 5201202003200004
Дата опубликования:
20.03.2020
