Официальное опубликование правовых актов
ОФИЦИАЛЬНОЕ ОПУБЛИКОВАНИЕ
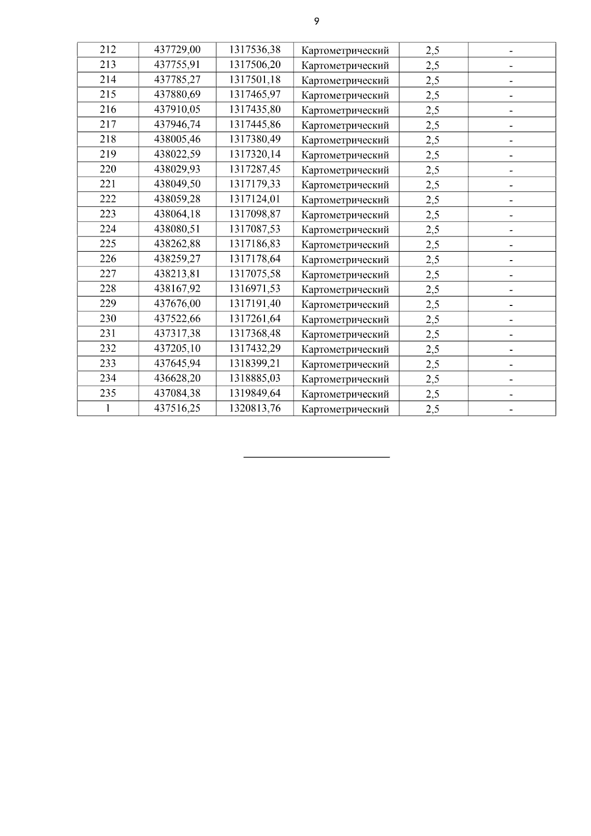
Указ Губернатора Нижегородской области от 08.04.2026 № 85
"Об установлении охранной зоны особо охраняемой природной территории регионального значения "Памятник природы "Болото Поколевское и озеро Поколево"
Номер опубликования: 5200202604090010
Дата опубликования: 09.04.2026
Страница №11 из 18:
Увеличить