Официальное опубликование правовых актов
ОФИЦИАЛЬНОЕ ОПУБЛИКОВАНИЕ
Постановление Правительства Нижегородской области от 24.06.2025 № 422
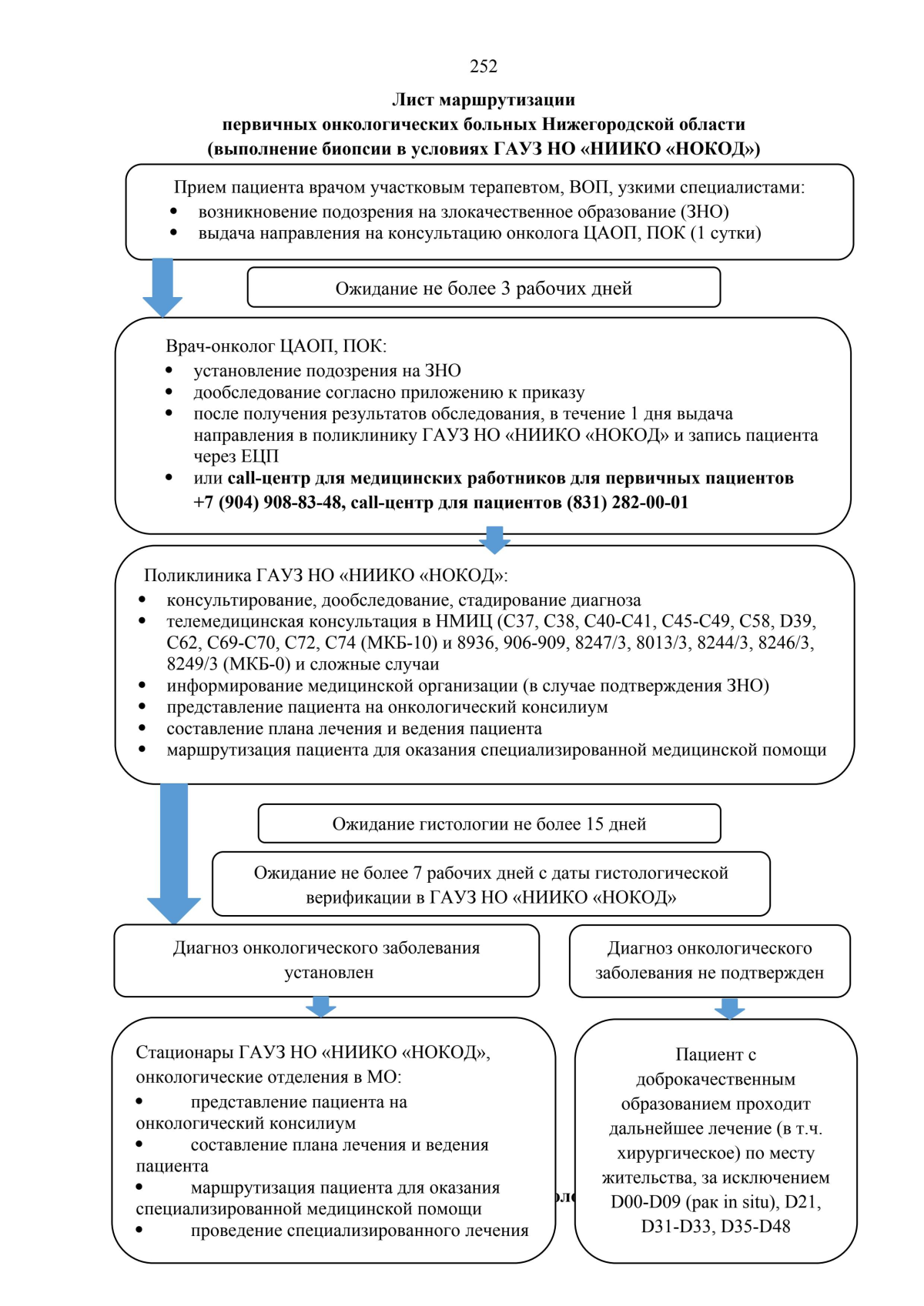
"Об утверждении региональной программы Нижегородской области "Борьба с онкологическими заболеваниями"
Номер опубликования: 5200202507010001
Дата опубликования: 01.07.2025
Страница №253 из 373:
Увеличить