Официальное опубликование правовых актов
ОФИЦИАЛЬНОЕ ОПУБЛИКОВАНИЕ
Постановление Правительства Нижегородской области от 22.04.2025 № 283
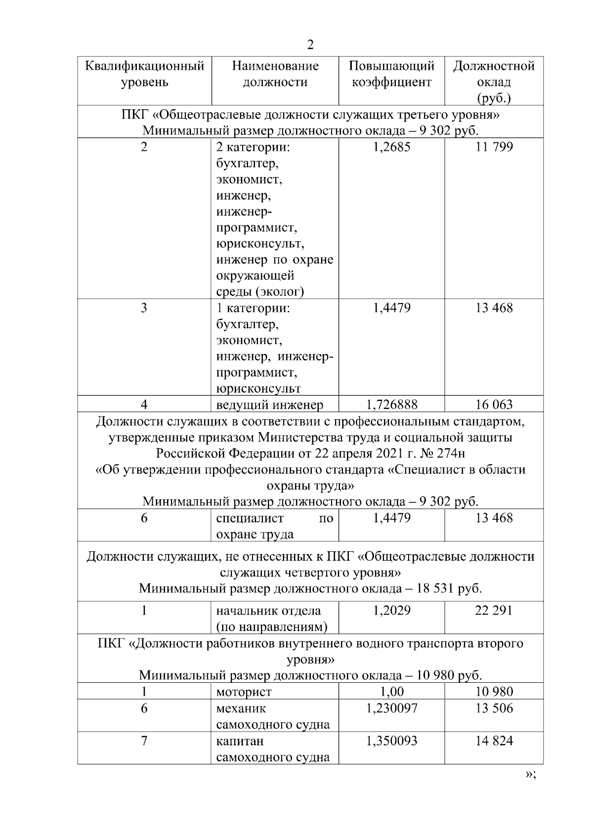
"О внесении изменений в Положение об оплате труда работников государственного бюджетного учреждения Нижегородской области "Экология региона" по виду экономической деятельности в области "Деятельность ботанических садов, зоопарков, государственных заповедников и национальных парков" (код 91.04), утвержденное постановлением Правительства Нижегородской области от 8 декабря 2011 г. № 1009"
Номер опубликования: 5200202504250006
Дата опубликования: 25.04.2025
Страница №2 из 3:
Увеличить