Официальное опубликование правовых актов
ОФИЦИАЛЬНОЕ ОПУБЛИКОВАНИЕ
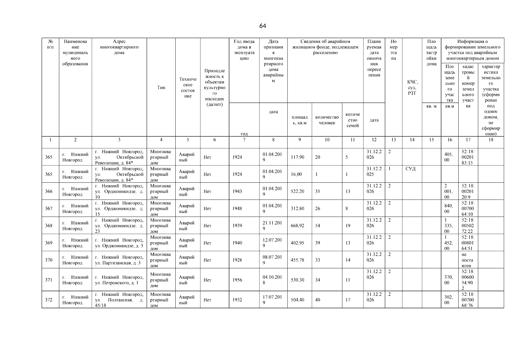
Постановление Правительства Нижегородской области от 25.02.2025 № 131
"О внесении изменений в региональную адресную программу "Переселение граждан на территории Нижегородской области в период с 2024 по 2028 годы из аварийного жилищного фонда, признанного таковым с 1 января 2017 г. до 1 января 2022 г.", утвержденную постановлением Правительства Нижегородской области от 4 июля 2024 г. № 399"
Номер опубликования: 5200202502280008
Дата опубликования: 28.02.2025
Страница №67 из 201:
Увеличить