Официальное опубликование правовых актов
ОФИЦИАЛЬНОЕ ОПУБЛИКОВАНИЕ
Постановление Правительства Нижегородской области от 05.02.2025 № 73
"О внесении изменений в постановление Правительства Нижегородской области от 15 декабря 2021 г. № 1173"
Номер опубликования: 5200202502060004
Дата опубликования: 06.02.2025
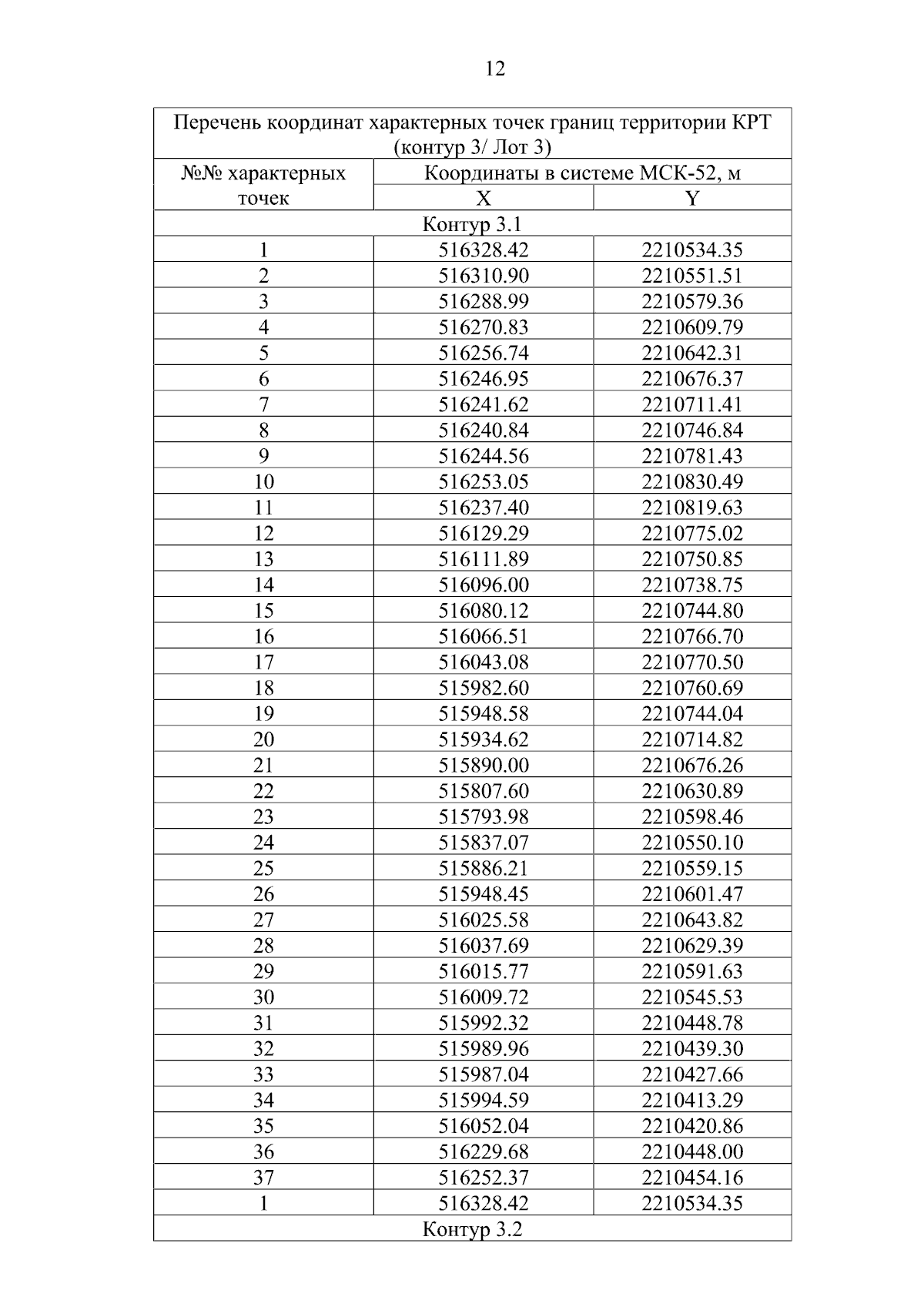
Страница №13 из 55:
Увеличить