Официальное опубликование правовых актов
ОФИЦИАЛЬНОЕ ОПУБЛИКОВАНИЕ
Распоряжение Правительства Нижегородской области от 20.12.2024 № 1246-р
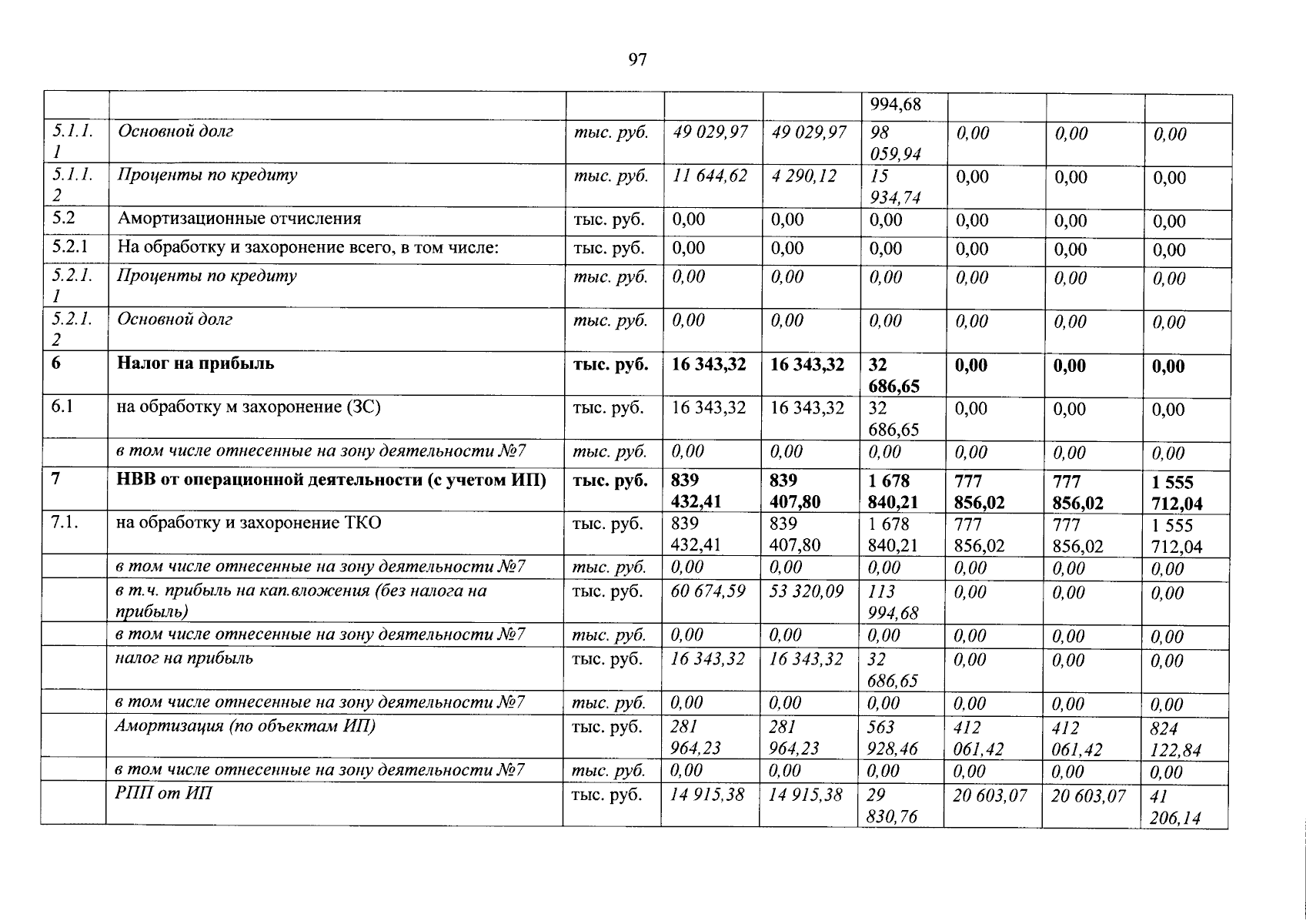
"О внесении изменения в инвестиционную программу ООО "МАГ Груп", г.Нижний Новгород, по межмуниципальному объекту "Современный полигон твердых бытовых отходов", расположенному в г.Дзержинск Нижегородской области, 390 км + 500 м Московского шоссе, 9, на 2016—2029 годы, утвержденную распоряжением Правительства Нижегородской области от 29 марта 2016 г. № 349-р"
Номер опубликования: 5200202412240005
Дата опубликования: 24.12.2024
Страница №98 из 110:
Увеличить