Официальное опубликование правовых актов
ОФИЦИАЛЬНОЕ ОПУБЛИКОВАНИЕ
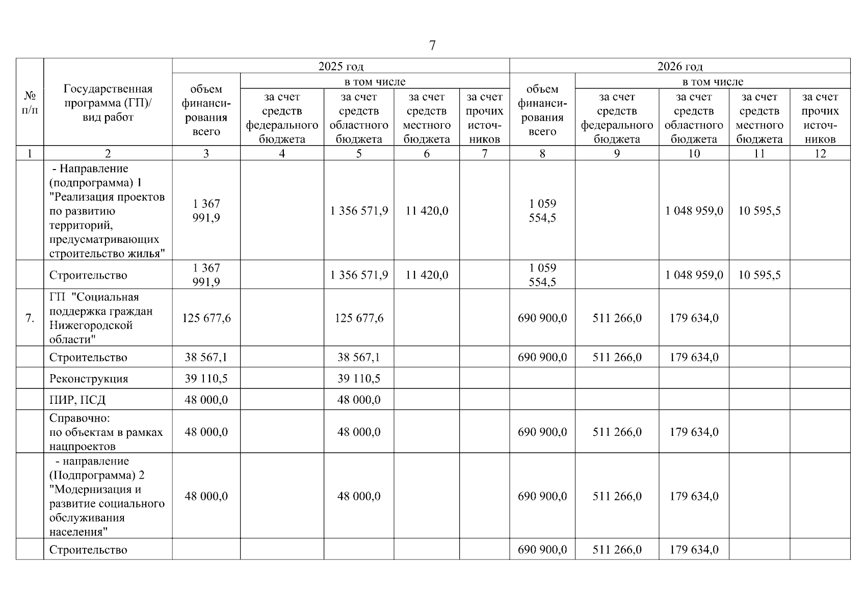
Постановление Правительства Нижегородской области от 17.12.2024 № 798
"О внесении изменений в Адресную инвестиционную программу Нижегородской области на 2024—2026 годы, утвержденную постановлением Правительства Нижегородской области от 18 декабря 2023 г. № 1084"
Номер опубликования: 5200202412230029
Дата опубликования: 23.12.2024
Страница №27 из 516:
Увеличить