Официальное опубликование правовых актов
ОФИЦИАЛЬНОЕ ОПУБЛИКОВАНИЕ
Постановление Правительства Нижегородской области от 12.12.2024 № 778
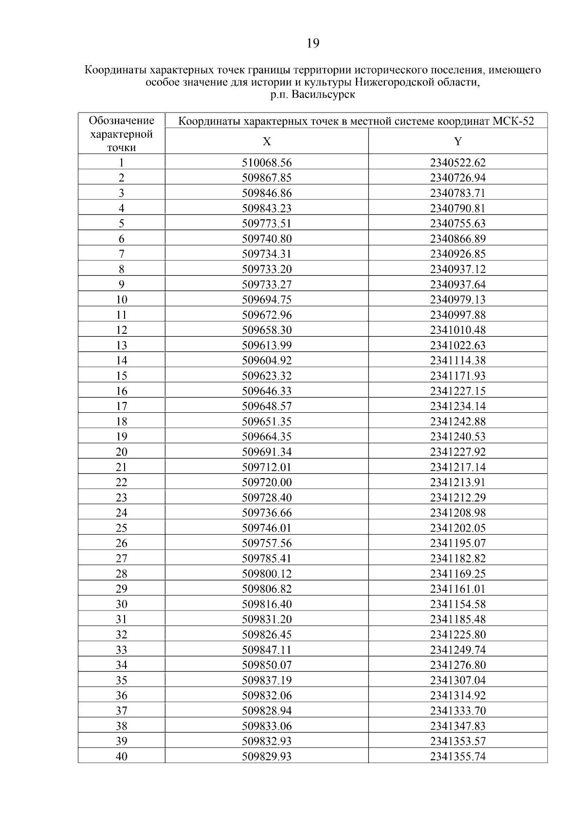
"О включении р.п. Васильсурск Воротынского муниципального округа Нижегородской области в перечень исторических поселений, имеющих особое значение для истории и культуры Нижегородской области, утверждении предмета охраны, границы территории данного исторического поселения, требований к градостроительным регламентам в утвержденной границе"
Номер опубликования: 5200202412160010
Дата опубликования: 16.12.2024
Страница №33 из 72:
Увеличить