Официальное опубликование правовых актов
ОФИЦИАЛЬНОЕ ОПУБЛИКОВАНИЕ
Постановление Правительства Нижегородской области от 12.12.2024 № 777
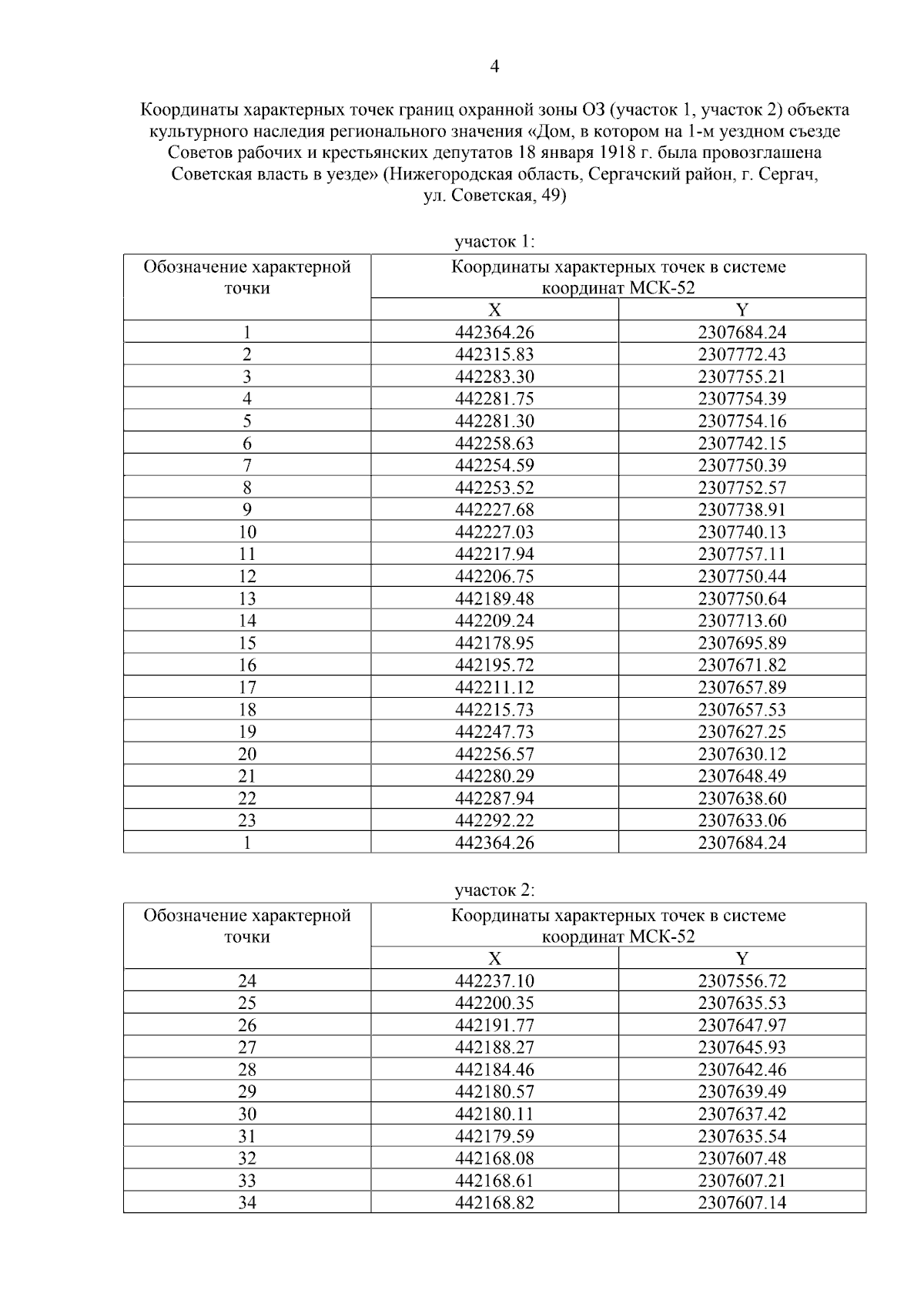
"Об установлении зон охраны объекта культурного наследия регионального значения "Дом, в котором на 1-м уездном съезде Советов рабочих и крестьянских депутатов 18 января 1918 г. была провозглашена Советская власть в уезде" (Нижегородская область, Сергачский район, г. Сергач, ул. Советская, 49), утверждении режимов использования земель и требований к градостроительным регламентам в границах территорий данных зон"
Номер опубликования: 5200202412160009
Дата опубликования: 16.12.2024
Страница №7 из 17:
Увеличить