Постановление Правительства Нижегородской области от 12.12.2024 № 776
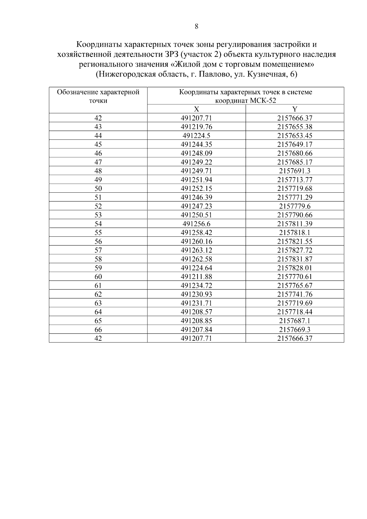
"Об установлении зон охраны объекта культурного наследия регионального значения "Жилой дом с торговым помещением" (Нижегородская область, г. Павлово, ул. Кузнечная, 6), утверждении режимов использования земель и требований к градостроительным регламентам в границах территорий данных зон"
"Об установлении зон охраны объекта культурного наследия регионального значения "Жилой дом с торговым помещением" (Нижегородская область, г. Павлово, ул. Кузнечная, 6), утверждении режимов использования земель и требований к градостроительным регламентам в границах территорий данных зон"
Номер опубликования: 5200202412160008
Дата опубликования:
16.12.2024
