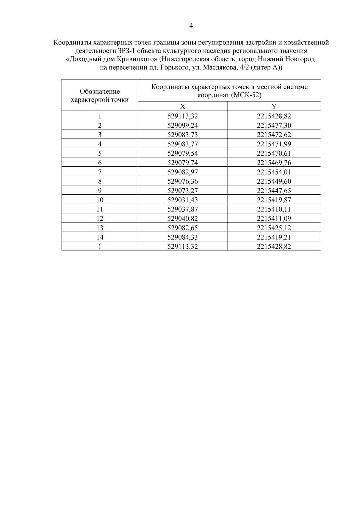
Постановление Правительства Нижегородской области от 12.12.2024 № 780
"Об установлении зон охраны объекта культурного наследия регионального значения "Доходный дом Кривицкого" (Нижегородская область, город Нижний Новгород, на пересечении пл. Горького, ул. Маслякова, 4/2 (литер А)), утверждении режимов использования земель и требований к градостроительным регламентам в границах территорий данных зон"
"Об установлении зон охраны объекта культурного наследия регионального значения "Доходный дом Кривицкого" (Нижегородская область, город Нижний Новгород, на пересечении пл. Горького, ул. Маслякова, 4/2 (литер А)), утверждении режимов использования земель и требований к градостроительным регламентам в границах территорий данных зон"
Номер опубликования: 5200202412160006
Дата опубликования:
16.12.2024
