Официальное опубликование правовых актов
ОФИЦИАЛЬНОЕ ОПУБЛИКОВАНИЕ
Постановление Правительства Нижегородской области от 12.12.2024 № 779
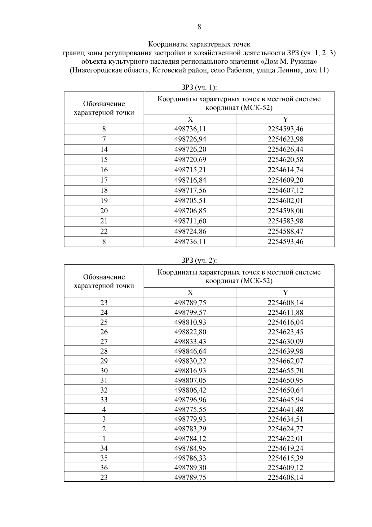
"Об установлении зон охраны объектов культурного наследия регионального значения "Дом М. Рукина" (Нижегородская область, Кстовский район, село Работки, улица Ленина, дом 11), "Дом Н. Ухова с торговым помещением" (Нижегородская область, Кстовский район, с. Работки, ул. Нижегородский съезд, 1), утверждении режимов использования земель и требований к градостроительным регламентам в границах территорий данных зон"
Номер опубликования: 5200202412160002
Дата опубликования: 16.12.2024
Страница №12 из 29:
Увеличить