Официальное опубликование правовых актов
ОФИЦИАЛЬНОЕ ОПУБЛИКОВАНИЕ
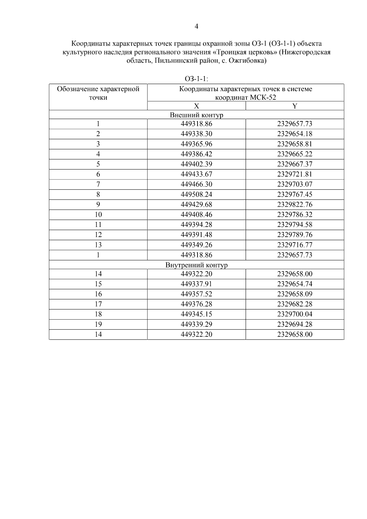
Постановление Правительства Нижегородской области от 20.11.2024 № 717
"Об установлении зон охраны обьекта культурного наследия регионального значения "Троицкая церковь" (Нижегородская область, Пильнинский район, с. Ожгибовка), утверждении режимов использования земель и требований к градостроительным регламентам в границах территорий данных зон"
Номер опубликования: 5200202411210001
Дата опубликования: 21.11.2024
Страница №7 из 28:
Увеличить