Постановление Правительства Нижегородской области от 14.11.2024 № 710
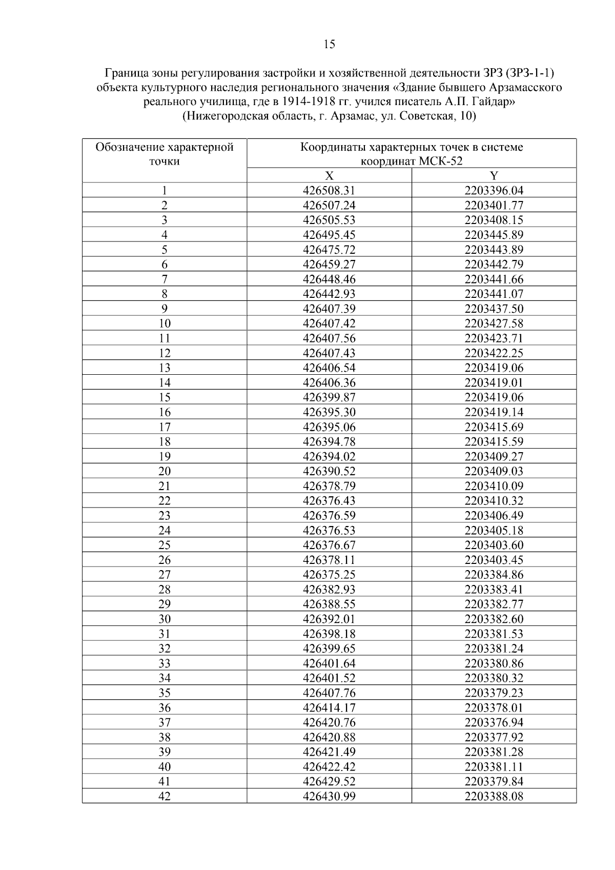
"Об установлении зон охраны объектов культурного наследия регионального значения "Жилой дом мещанина (деревянный)" (Нижегородская область, г. Арзамас, ул. 1 Мая, д. 1), "Здание бывшего Арзамасского реального училища, где в 1914—1918 гг. учился писатель А.П. Гайдар" (Нижегородская область, г. Арзамас, ул. Советская, 10), утверждении режимов использования земель и требований к градостроительным регламентам в границах территорий данных зон"
"Об установлении зон охраны объектов культурного наследия регионального значения "Жилой дом мещанина (деревянный)" (Нижегородская область, г. Арзамас, ул. 1 Мая, д. 1), "Здание бывшего Арзамасского реального училища, где в 1914—1918 гг. учился писатель А.П. Гайдар" (Нижегородская область, г. Арзамас, ул. Советская, 10), утверждении режимов использования земель и требований к градостроительным регламентам в границах территорий данных зон"
Номер опубликования: 5200202411180001
Дата опубликования:
18.11.2024
