Постановление Правительства Нижегородской области от 21.08.2024 № 475
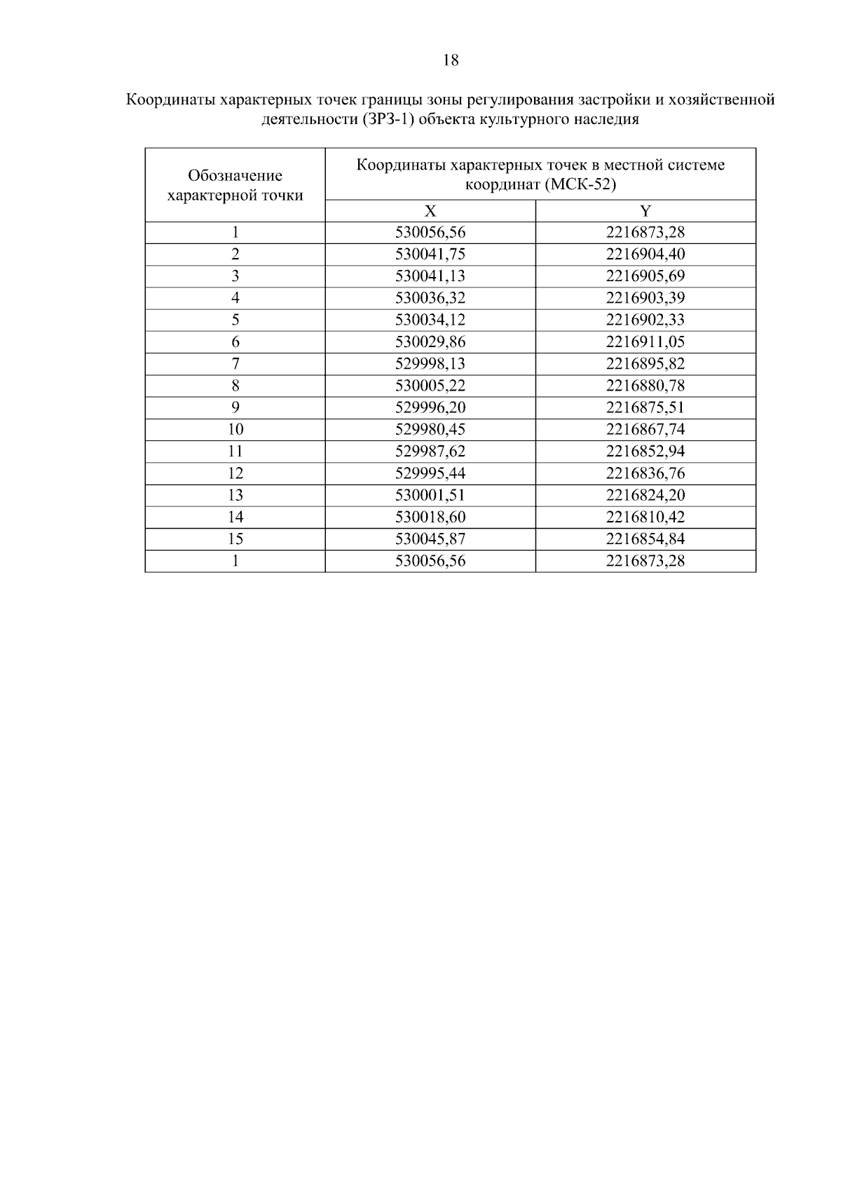
"Об установлении зон охраны объектов культурного наследия регионального значения, расположенных по ул. Нестерова в г. Нижнем Новгороде, утверждении требований к градостроительным регламентам в границах территорий данных зон"
"Об установлении зон охраны объектов культурного наследия регионального значения, расположенных по ул. Нестерова в г. Нижнем Новгороде, утверждении требований к градостроительным регламентам в границах территорий данных зон"
Номер опубликования: 5200202408230004
Дата опубликования:
23.08.2024
