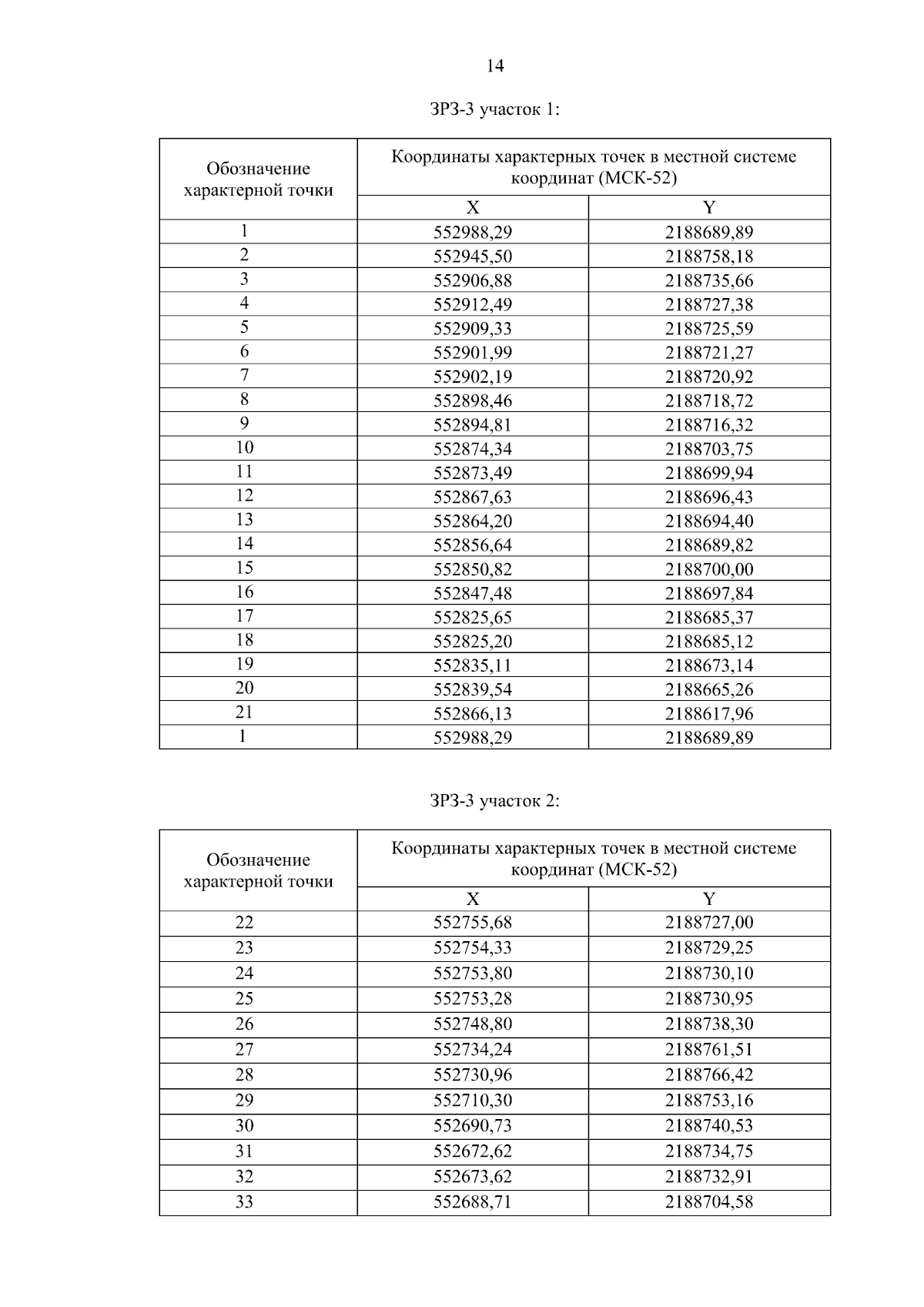
Постановление Правительства Нижегородской области от 07.06.2024 № 343
"Об установлении зон охраны объекта культурного наследия регионального значения "Ансамбль площади" (Нижегородская область, г. Балахна, пр. Дзержинского, д. 38, д. 40, ул. Горького, д. 13), утверждении требований к градостроительным регламентам в границах территорий данных зон"
"Об установлении зон охраны объекта культурного наследия регионального значения "Ансамбль площади" (Нижегородская область, г. Балахна, пр. Дзержинского, д. 38, д. 40, ул. Горького, д. 13), утверждении требований к градостроительным регламентам в границах территорий данных зон"
Номер опубликования: 5200202406110004
Дата опубликования:
11.06.2024
