Официальное опубликование правовых актов
ОФИЦИАЛЬНОЕ ОПУБЛИКОВАНИЕ
Постановление Правительства Нижегородской области от 31.05.2024 № 317
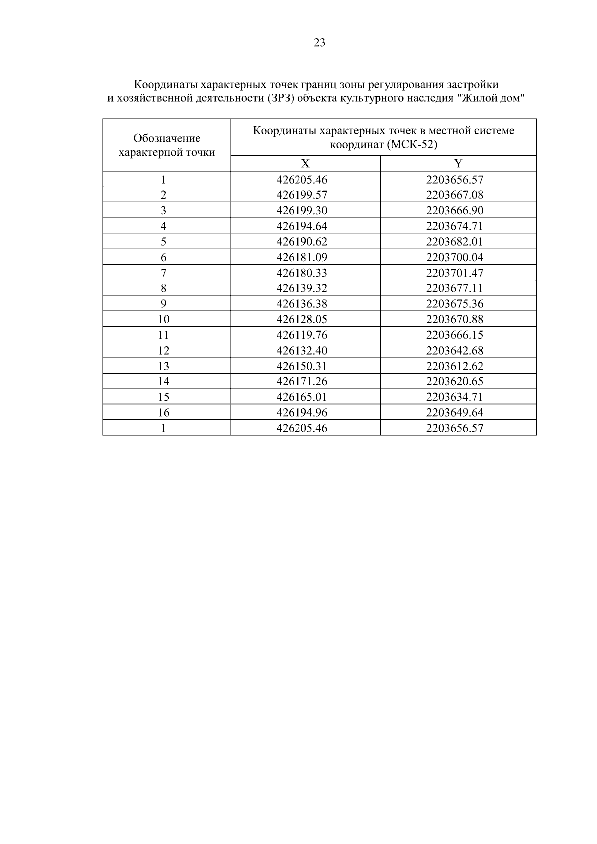
"Об установлении зон охраны объектов культурного наследия регионального значения, расположенных в г. Арзамасе Нижегородской области, утверждении требований к градостроительным регламентам в границах территорий данных зон"
Номер опубликования: 5200202406060003
Дата опубликования: 06.06.2024
Страница №25 из 77:
Увеличить