Официальное опубликование правовых актов
ОФИЦИАЛЬНОЕ ОПУБЛИКОВАНИЕ
Постановление Правительства Нижегородской области от 30.05.2024 № 302
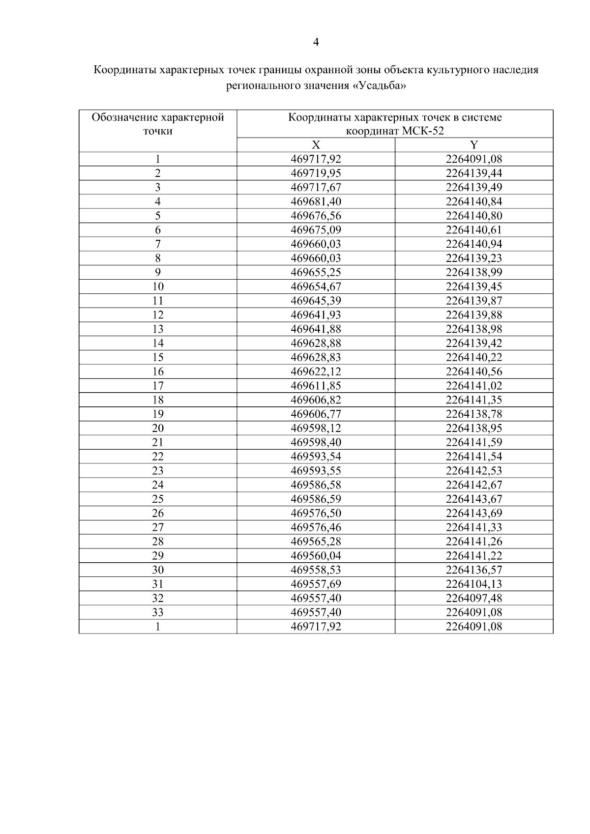
"Об установлении зон охраны объектов культурного наследия регионального значения, расположенных по ул. Свободы в р.п. Большое Мурашкино Нижегородской области, утверждении требований к градостроительным регламентам в границах территорий данных зон"
Номер опубликования: 5200202406030007
Дата опубликования: 03.06.2024
Страница №6 из 28:
Увеличить