Официальное опубликование правовых актов
ОФИЦИАЛЬНОЕ ОПУБЛИКОВАНИЕ
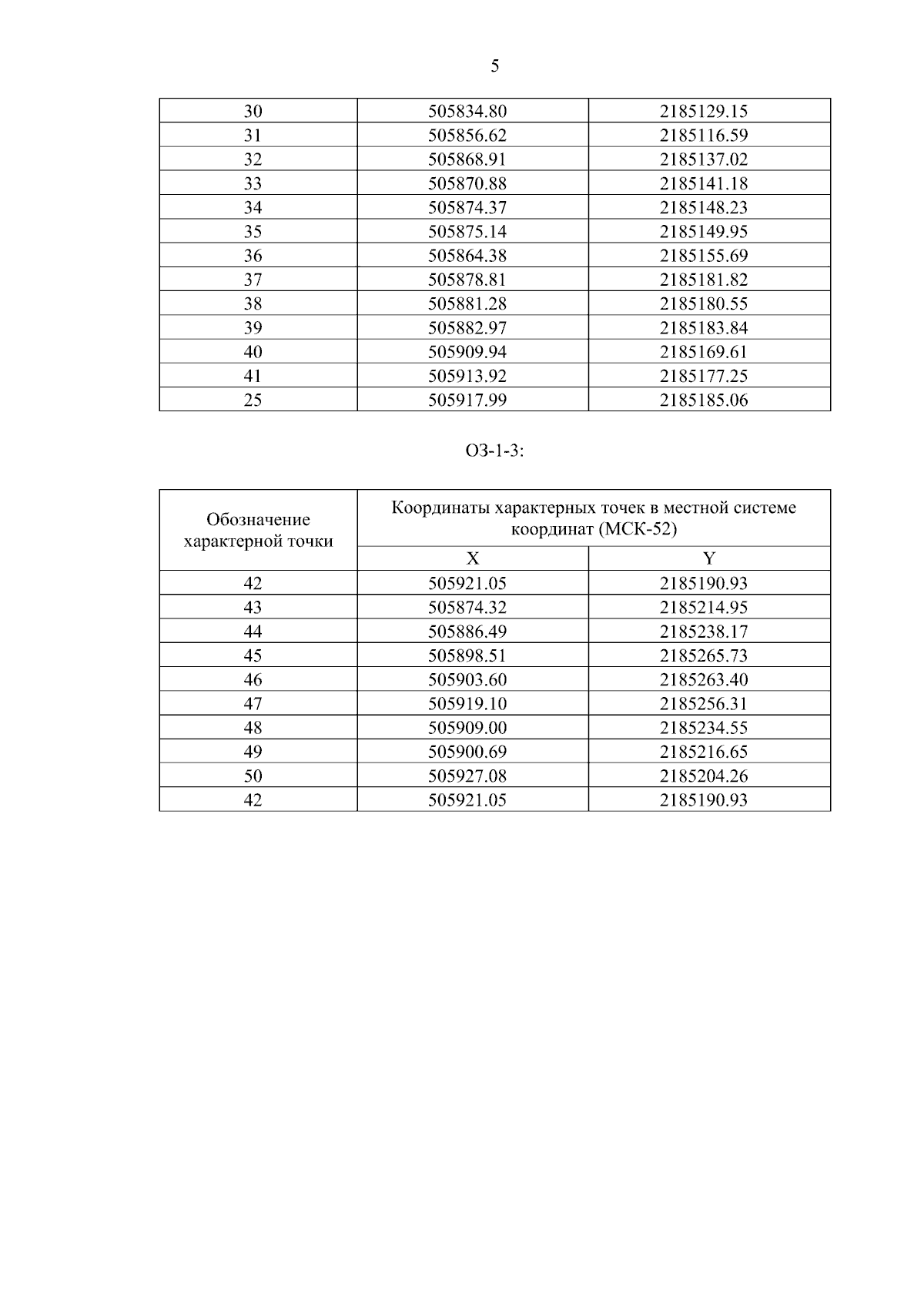
Постановление Правительства Нижегородской области от 30.05.2024 № 303
"Об установлении зон охраны объекта культурного наследия регионального значения "Вотчинное правление" (Нижегородская область, г. Богородск, ул. Ленина, 176), утверждении требований к градостроительным регламентам в границах территорий данных зон"
Номер опубликования: 5200202406030003
Дата опубликования: 03.06.2024
Страница №7 из 15:
Увеличить