Официальное опубликование правовых актов
ОФИЦИАЛЬНОЕ ОПУБЛИКОВАНИЕ
Постановление Правительства Нижегородской области от 30.05.2024 № 312
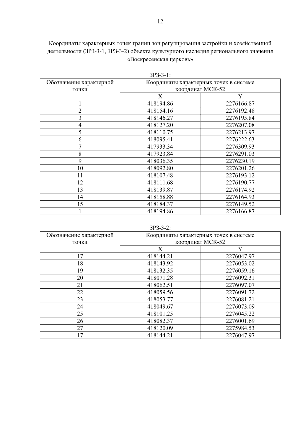
"Об установлении зон охраны объекта культурного наследия регионального значения "Воскресенская церковь" (Нижегородская область, Гагинский муниципальный округ, село Юрьево; адрес в едином государственном реестре объектов культурного наследия (памятников истории и культуры) народов Российской Федерации: Нижегородская область, Гагинский район, село Юрьево) и утверждении требований к градостроительным регламентам в границах территорий данных зон"
Номер опубликования: 5200202406030001
Дата опубликования: 03.06.2024
Страница №14 из 22:
Увеличить