Официальное опубликование правовых актов
ОФИЦИАЛЬНОЕ ОПУБЛИКОВАНИЕ
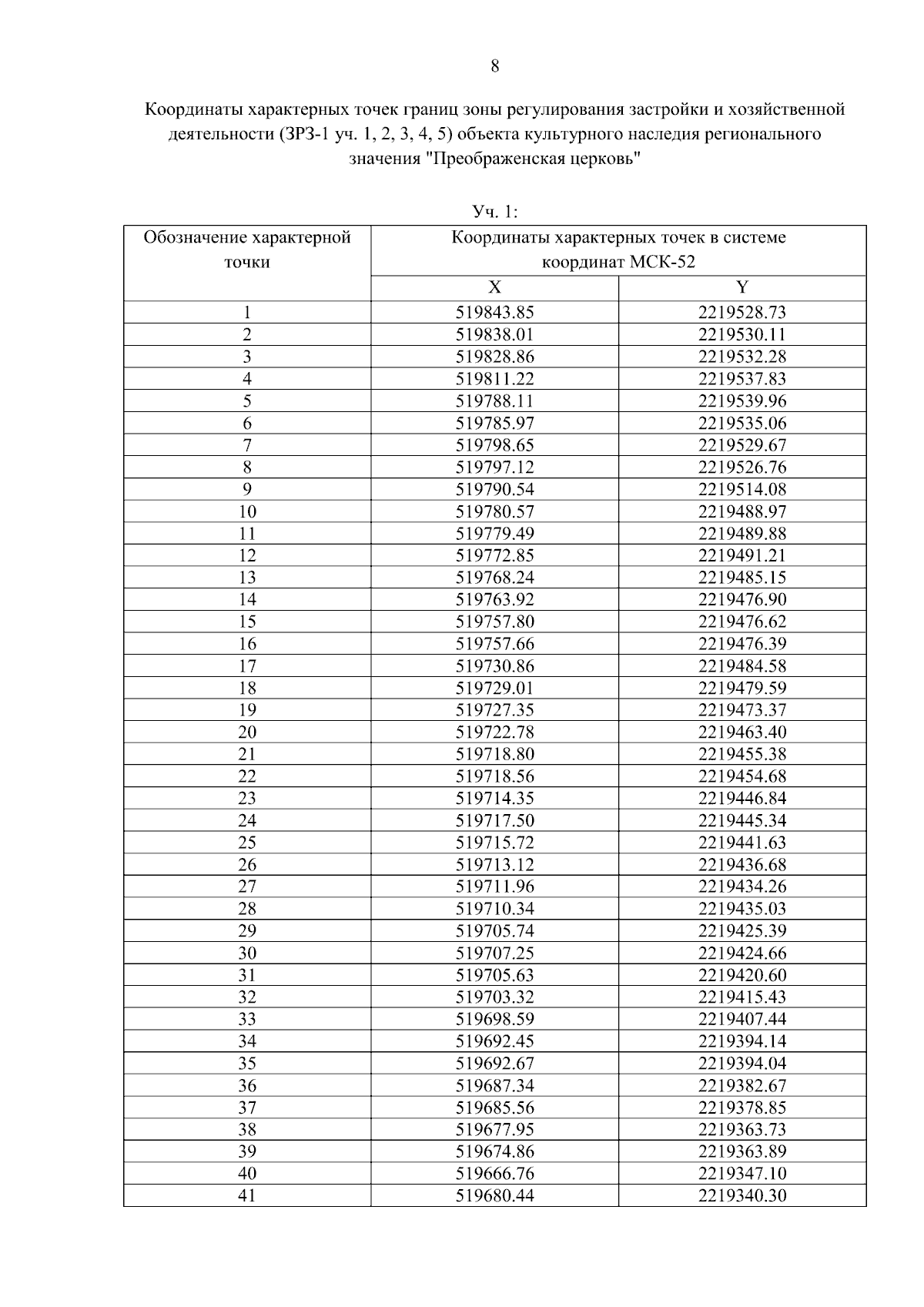
Постановление Правительства Нижегородской области от 23.05.2024 № 276
"Об установлении зон охраны объекта культурного наследия регионального значения "Преображенская церковь" (Нижегородская область, Кстовский район, село Федяково), утверждении требований к градостроительным регламентам в границах территорий данных зон"
Номер опубликования: 5200202405270001
Дата опубликования: 27.05.2024
Страница №10 из 31:
Увеличить