Официальное опубликование правовых актов
ОФИЦИАЛЬНОЕ ОПУБЛИКОВАНИЕ
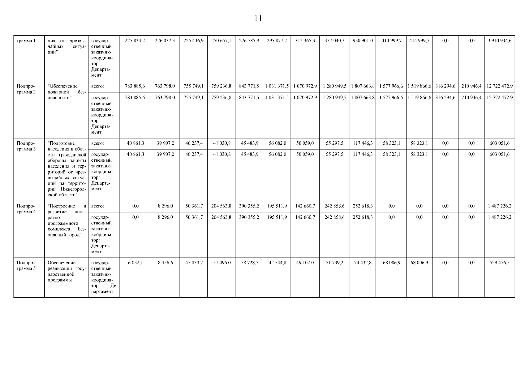
Постановление Правительства Нижегородской области от 28.12.2023 № 1153
"О внесении изменений в государственную программу "Защита населения и территорий от чрезвычайных ситуаций, обеспечение пожарной безопасности и безопасности людей на водных объектах Нижегородской области", утвержденную постановлением Правительства Нижегородской области от 30 апреля 2014 г. № 304"
Номер опубликования: 5200202312280009
Дата опубликования: 28.12.2023
Страница №12 из 48:
Увеличить