Официальное опубликование правовых актов
ОФИЦИАЛЬНОЕ ОПУБЛИКОВАНИЕ
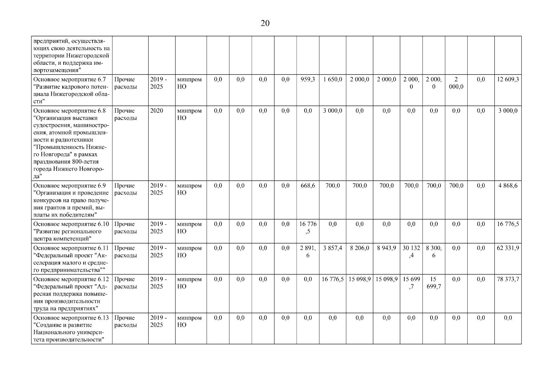
Постановление Правительства Нижегородской области от 30.11.2023 № 1034
"О внесении изменений в государственную программу "Развитие промышленности и инноваций Нижегородской области", утвержденную постановлением Правительства Нижегородской области от 30 апреля 2014 г. № 297"
Номер опубликования: 5200202312040005
Дата опубликования: 04.12.2023
Страница №21 из 137:
Увеличить